全文速览
合理设计不饱和醛选择性加氢高效多相催化剂是一项长期的科学挑战和追求。本文报到了一种具有双活性位点的NiIn0.2/MgO-Al2O3催化剂。该催化剂在糠醛(FAL)氢化成糠醇(FOL)的反应中表现出优越的加氢活性和FOL选择性,FOL最大产率为98.9%。同时,在100小时的稳定性试验中,NiIn0.2/MgO-Al2O3表现出良好的反应稳定性。此外,NiIn0.2/MgO-Al2O3对其他不饱和醛同样表现出优异的催化性能。表征和理论计算结果表明,H2和FAL分别在金属Ni和金属间化合物(IMCs)Ni2In的活性位点上被吸附和活化,FAL加氢到FOL发生在Ni2In的表面。同时,由于Ni2In中的活性位点孤立和电子调变效应,产物FOL更容易从Ni2In表面解吸,导致NiIn0.2/MgO-Al2O3催化剂具有极高的FOL选择性。该工作为合理设计具有高活性和选择性的IMCs加氢催化剂提供了新的思路。

背景介绍
不饱和醛(UAL)选择性加氢制备不饱和醇(UOL)是有机合成、制药工业和化妆品生产等的关键步骤。然而,与 C=O 相比,C=C 的加氢饱和在热力学上更容易,因此在该类反应中高选择性催化剂的设计成为关键所在。其中,使用金属或非金属元素修饰活性金属形成金属间化合物(IMCs)是提高催化剂上不饱和醇选择性的有效手段。然而,由于部分活性位点被第二元素孤立,活性位对底物的吸附将受到影响。因此,与对应的单金属催化剂相比,IMCs对UAL的加氢活性相对较低。基于此,偷情视频
吕宏缨教授课题组制备了一种具有双活性位点的高效NiIn0.2/MgO-Al2O3催化剂,并研究了其对糠醛的加氢性能和反应机理。
研究目标
制备双活性位NiIn0.2/MgO-Al2O3催化剂,并探究其对不饱和醛的加氢性能。
探究NiIn0.2/MgO-Al2O3物理化学性质以及选择加氢构-效关系。
利用多种表征手段及理论计算,揭示催化剂表面糠醛加氢的反应机理。
图文精读

Figure 1.(a) XRD patterns of Ni and Ni-In LDHs. TEM images of (b) Ni-Mg-Al, (c) Ni-Mg-Al0.8-In0.2, and (d) Ni-Mg-In.
采用共沉淀法制备得到一系列不同Ni/In的水滑石。XRD证明了Ni基水滑石的成功制备,此外,随着In含量的提高,出现了部分In(OH)3相。N2物理吸附表征表明,In的引入使得水滑石的比表面积及孔容略有降低。

Figure 2.(a) XRD patterns of Ni and Ni-In catalysts. TEM, STEM, and HRTEM images of (b, c, d) Ni/MgO-Al2O3and (e, f, g) NiIn0.2/MgO-Al2O3. The inset images correspond to the particle size distribution and the Ni and Ni2In-associated fast Fourier transformation, respectively. (h) Proposed phase transformation process of Ni-In IMCs.
通过一步还原的方法制备得到不同比例的Ni-In催化剂。通过对比XRD与TEM的表征发现,随着In含量的提高,Ni-In催化剂中的相态出现如下变化:Ni → Ni+Ni2In → Ni2In → Ni2In+NiIn。N2物理吸附表征表明,In的引入使得催化剂的比表面积及孔容略有降低。

Figure 3.XPS of the Ni 2p3/2in (a) Ni/MgO-Al2O3and (b) NiIn0.2/MgO-Al2O3. (c) XPS of the In 3d region in NiIn0.2/MgO-Al2O3. (d) The calculated electron localization function map of the Ni2In intermetallic compound.
XPS表征结果证明,由于Ni跟In之间的电负性差异,Ni2In中In的部分电子向Ni发生偏移,使得Ni上带部分负电(Niδ-)。DFT计算同样证明,Ni2In中的Ni为Niδ-状态。由此可见,In的引入对Ni的电子结构起到了调变作用。此外,由Ni2In的结构可知,In起到了孤立活性位点Ni的作用。

Figure 4.(a) Catalytic FAL hydrogenation performances over NiIn0.2/MgO-Al2O3and Ni/MgO-Al2O3. (b)FAL conversion and corresponding selectivity to FOL over Ni-based catalysts with different in content under 100oC, 2 MPa, 1 h, and substrate/Ni=12. (c) Plot of lnkas a function of 1/T over NiIn0.2/MgO-Al2O3and Ni/MgO-Al2O3, derived from FAL reaction rates vs reaction time.
通过糠醛加氢反应结果可知,NiIn0.2/MgO-Al2O3相较于Ni/MgO-Al2O3催化剂具有相似的糠醛加氢活性。上述两种催化剂上糠醛加氢的活化能也非常接近(23.1 kJ/mol vs. 26.4 kJ/mol)。然而,由于In的引入,使得NiIn0.2/MgO-Al2O3催化剂对糠醇的选择性远高于Ni/MgO-Al2O3。此外,该催化剂对其它的不饱和醛也具有优越的加氢活性和不饱和醇选择性。

Figure 5.(a) H2-TPR profilesand (b) H2-TPD profiles of Ni and Ni-In IMCs samples. (c) FAL hydrogenation over NiIn0.2/MgO-Al2O3and NiIn0.2/MgO-Al2O3-M catalysts. Reaction condition: 100oC, 2 MPa H2, and substrate/Ni=12.
H2-TPR的结果表证明,由于样品中Ni和还原性材料(In2O3)之间的SMSI较弱,随着In含量的增加,峰位置向低温转移。H2-TPD的表征结果表明,Ni/MgO-Al2O3对H2的吸附强度高于NiIn0.2/MgO-Al2O3。更明显的是,随着纯相Ni2In金属间化合物的形成,NiIn0.5/MgO-Al2O3表面对H2化学吸附作用显著减弱,表明Ni2In吸附活化H2的能力有限。将Ni/MgO-Al2O3和NiIn0.5/MgO-Al2O3混合为0.2 In/Ni的混合物(NiIn0.2/MgO-Al2O3-M),并进行FAL氢化反应。混合NiIn0.2/MgO-Al2O3-M催化剂的FAL转化率和对FOL的选择性远低于NiIn0.2/MgO-Al2O3催化剂。这是由于在NiIn0.2/MgO-Al2O3-M中Ni与Ni2In之间的距离越长,溢流的氢对吸附在Ni2In上的FAL的攻击屏障就越高,从而导致活性和选择性降低。结果表明,NiIn0.2/MgO-Al2O3中金属Ni而非Ni2In在FAL加氢过程中起着H2活化作用。

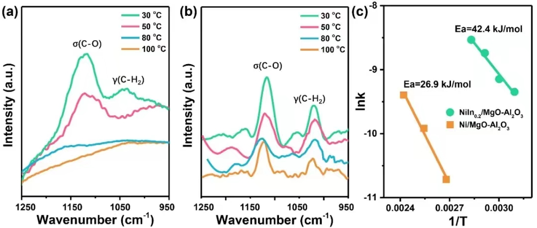
Figure 6.FT-IR spectra of FOL desorption from (a) NiIn0.2/MgO-Al2O3and (B) Ni/MgO-Al2O3within a temperature range of 30-100 °C. (c) Plot of lnkas a function of 1/T over NiIn0.2/MgO-Al2O3and Ni/MgO-Al2O3, derived from FOL reaction rates vs reaction time.
FOL在NiIn0.2/MgO-Al2O3和Ni/MgO-Al2O3样品表面的吸附-红外结果表明,随着温度的升高,FOL在NiIn0.2/MgO-Al2O3迅速脱附,温度达到100 °C时完全脱附。相反,在金属Ni/MgO-Al2O3催化剂上,FOL的脱附速度较慢,在100oC仍能检测到归属于FOL的σ(C−O)和γ(−CH2)信号。此外,通过计算FOL在两种催化剂上的活化能可知,相较于Ni/MgO-Al2O3, NiIn0.2/MgO-Al2O3催化FOL氢化反应的活化能Ea要小得多(42.4 vs. 26.9 kJ/mol)。

Figure 7.Optimized adsorption structure of FAL adsorbed on the surface of (a) Ni(111) and (b) Ni2In(110). Optimized adsorption structure of FOL adsorbed on the surface of (c) Ni(111) and (d) Ni2In(110). The corresponding adsorption energies are labeled. Deformation charge density of the (e) FAL-Ni(111), (f) FAL-Ni2In(110), (g) FOL-Ni(111), and (h) FOL-Ni2In(110).
UAL中C=C/C=O的竞争吸附构型和UOL的吸附强度对催化选择性和反应途径有决定性的影响。因此,我们对Ni和Ni2In IMCs进行了DFT计算,以揭示吸附结构与催化性能之间的关系。FAL在Ni(111)上最稳定的吸附结构是呋喃环和C=O平行吸附。这种吸附类型将导致C=C和C=O同时加氢生成副产物THFOL。而Ni2In(110)上吸附能最低的吸附结构为垂直吸附结构,即通过C=O吸附在Ni2In(110)表面。值得注意的是,在Ni2In(110)上的FAL Ead为-2.13 eV,远低于Ni(111)上的-1.65 eV。结果表明,在NiIn0.2/MgO-Al2O3中,FAL分子更倾向于吸附在Ni2In表面。此外,与原始FAL分子相比,FAL分子中的C=O键被拉长(1.94 Å比1.37 Å),表明C=O吸附在Ni2In(110)表面后被活化。
FOL在单金属Ni(111)表面最稳定的吸附结构为平行吸附,有利于呋喃环的连续加氢。Ni2In(110)通过吸附FOL中的羟基,形成脆弱的垂直吸附模式。吸附在Ni2In(110)表面的FOL中的Ni-O键长为3.44 Å,远长于吸附在Ni(111)表面的Ni-O键长。这意味着不饱和醇分子(FOL)很容易从Ni2In(110)表面脱出,而不进一步加氢,因此具有显著的FOL选择性。电荷分布图结果表明,从Ni2In到FOL的电子转移程度远弱于FAL-Ni(111),这说明了FOL在Ni2In(110)表面为弱吸附。所有的DFT计算结果都表明,在NiIn0.2/MgO-Al2O3催化剂中,大部分FAL吸附在Ni2In表面,而不是金属Ni,经H作用形成FOL。

Scheme 1.A proposed dual-active sites mechanism for FAL hydrogenation to FOL over NiIn0.2/MgO-Al2O3.
基于以上分析,我们得到了FAL在NiIn0.2/MgO-Al2O3的反应机理。FAL中的C=O键垂直吸附在Ni2In表面。同时,H2分子吸附在金属Ni上并分裂成H物种。H物种在Al2O3载体上从Ni迁移到邻近的Ni2In,并攻击活化的C=O生成C-OH物种,随后Ni-O断裂,形成FOL。这种高效的双活性位点加氢-解吸过程提高了活性位点的利用率,从而获得了高的催化活性和高的FOL选择性。

Figure 8.(a) Durability test for FAL hydrogenation over NiIn0.2/MgO-Al2O3. (b) XRD patterns, (c) TG curves and (d) TEM images of fresh and spent NiIn0.2/MgO-Al2O3. Reaction conditions: under 100oC, 2 MPa, substrate/Ni=12, contract time 2 h, and H2/substrate=300.
NiIn0.2/MgO-Al2O3催化剂表现出较高的反应稳定性,100小时稳定性试验后,FAL转化率仅下降3.2%(从93.3%下降到90.1%)。同时,对FOL的选择性也稳定维持在98%左右。对使用后的催化剂进行表征后发现,活性的下降是由于FAL在NiIn0.2/MgO-Al2O3催化剂表面聚合所致。
相关研究成果
1. Yang, K., Li, Y., Wang, R., Li, Q., Huang, B.*, Guo, X., Li, Q., Zhu, Z., Su, T., Lü, H*.Synthesis of Dual-Active-Sites Ni-Ni2In catalysts for selective hydrogenation of furfural to furfuryl alcohol.Fuel,2022,325, 124898.
2. Sun, Y., Zheng, J., Xu, J., Yang, K.*, Zhu, Z., Su, T., Ge, H., Ren, W., Lü, H*. An Anderson-type polyoxometalate triggers aerobic oxidation of 5-hydroxymethylfurfural to 2,5-diformylfuran.Fuel,2022, 315, 123226.
3. Sun, Y., Yang, K., Zhu, Z., Su, T., Ge, H., Ren, W., Lü, H*.Deep eutectic solvents coupled with (NH4)3H6CoMo6O24trigger aerobic oxidation of 5-hydroxymethylfurfural to 5-formyl-2-furancarboxylic acid.Chem. Commun.2022, DOI:10.1039/D2CC02544B
4. Xu, J., Su, Zhu, Z., Chen, N., Hao, D., Wang, M., Zhao, Y., Ren, W., Lü, H*.Biomimetic oxygen activation and electron transfer for aerobic oxidative 5-hydroxymethylfurfural to 2,5-diformylfuran.Chem. Eng. J.2020, 396, 125303.
5. Chen, N., Zhu, Z., Su, T., Liao, W., Deng, C., Ren, W., Zhao, Y., Lü, H*.Catalytic hydrogenolysis of hydroxymethylfurfural to highly selective 2,5-dimethylfuran over FeCoNi/h-BN catalyst.Chem. Eng. J.2020, 381, 122755.
心得与展望
通过使用Ni-In水滑石为前体,成功制备了具有双活性位点Ni和Ni2In的NiIn0.2/MgO-Al2O3催化剂。该催化剂在FAL和其他UAL加氢反应中表现出非凡的催化活性、选择性和稳定性。实验和理论研究表明,FAL的加氢反应通过以下过程实现的:(1)H2在Ni表面活化,FAL通过醛基吸附在Ni2In表面;(2)H由Ni溢流至Ni2In;(3)吸附的FAL在Ni2In的活性位点上加氢;(4)形成的FOL从Ni2In的活性位点上解吸。与单金属Ni催化剂相比,Ni- Ni2In双活性位点结构使其具有更高的催化活性和选择性。该工作为合理设计加氢反应中具有高活性和选择性的IMCs催化剂提供了新的策略。
课题组介绍
第一作者:杨凯旋

博士,偷情视频
讲师,硕士生导师,2013年和2019年分别在大连理工大学获得学士、博士学位,导师梁长海教授。主要从事金属间化合物的化学合成、生物质催化转化等方面的研究。主持国家自然科学基金青年项目一项,近年来以第一/通讯作者先后在J. Catal.、Fuel、Catal. Today等期刊发表论文7篇。
通讯作者:黄博文

博士,湖南大学材料科学与工程学院副教授,硕士生导师。于2018年在法国普瓦提埃大学获得理论化学博士学位,目前主要从事含能材料晶体结构预测与评价、服役条件下材料力学性能模拟等相关领域的研究。主持国家自然科学基金、国际重点实验室基金等相关项目,在材料、化学国际知名期刊JACS, Acta Mater., Chem. Mater., Phys. Rev. Mater. 发表多篇论文。
通讯作者:吕宏缨

博士,偷情视频
教授,硕士生导师,多年来一直从事催化材料、离子液体、低共熔溶剂及石油化工方面的研究。主要研究方向为:柴油的氧化脱硫、生物质的氧化及加氢、CO2的化学转化、低共熔剂的制备及其在催化反应中的应用、多酸催化等。已在J. Catal., Chem. Commun., Green Chem. Appl. Catal. B-Environ., Appl. Catal. A-Gen., 中国科学:化学等国内外高水平国际期刊上以第一/通讯作者发表论文50余篇。申报人目前主持和已经结题的国家自然科学基金面上项目共有3项,省基金 1 项,授权中国发明专利6项。2021年获得山东省自然科学二等奖(1/5)。